Denominator equivalent time constant for feedforward control of acceleration (P-AXIS-00226)
P-AXIS-00226 | Denominator equivalent time constant for feedforward control of acceleration | |
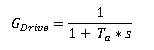
Description | The acceleration command variable is weighted by the mechanical time constant of the drive. The drive is modelled here as a first-order time delay element (see figure of the conventional feedforward control]). In the Laplace range the following transfer function is obtained
P-AXIS-00225: time constant numerator. | |
Parameter | vorsteuer.vs_a_nenner | |
Data type | SGN32 | |
Data range | 0 ≤ vs_a_nenner ≤ MAX(SGN32) | |
Axis types | T, R, S | |
Dimension | T: ---- | R,S: ---- |
Default value | 1 | |
Drive types | ---- | |
Remarks |
| |
with 