Dämpfungsmaß der Eigenfrequenz (P-AXIS-00568)
| P-AXIS-00568 | Dämpfungsmaß der Eigenfrequenz | |
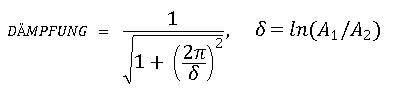
| Beschreibung | Neben der Eigenfrequenz selbst kann über diesen Parameter zusätzlich das Dämpfungsmaß der Eigenfrequenz angegeben werden, welches wie folgt definiert ist: 
 
 | |
| Parameter | vib_guard.damping | |
| Datentyp | REAL64 | |
| Datenbereich | 0 ≤ damping ≤ 1 | |
| Achstypen | T, R, S | |
| Dimension | T: ---- | R,S: ---- | 
| Standardwert | 0.1 | |
| Antriebstypen | ---- | |
| Anmerkungen | Parameter ist verfügbar ab V3.1.3075.00 | |

